Номер 379 - ГДЗ Алгебра 8 класс. Мерзляк, Полонский. Учебник. Страница 99

Вернуться к содержанию учебника

Упражнения § 12. Страница 99

11 377 378 379 380 381 382

Вопрос

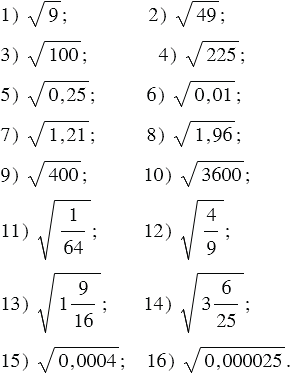
Найдите значение арифметического квадратного корня:

Подсказка

Ответ


Вернуться к содержанию учебника